Karate and Board Breaking

By Dr. Richard Hewko, PhD
2nd kyu from the Rocky Mountain Dojo

Karate & Board Breaking A person wishes to break a board that has mass m and width w by striking it with his hand. Assuming the board is held stationary at its extremes, the force of the strike should cause the board to bend in the middle until the bottom of the board stretches beyond its ability. At this point, the bottom surface of the board will begin to split open along the grain and up through the board to the top surface, splitting the board.

If the boards displacement from level is u, and it breaks when it is bent passed a displacement , then it will behave to a first approximation like a taught string of length w and obey the wave equation:


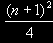
where c is the speed of sound in the piece of wood. If we solve this equation assuming only the first harmonic of vibration is excited, that the board is held immovable at its extremities, and that the speed of the board's center after striking is v we get


The minimum energy to break the board will occur when this term is a maximum or when the sign is unity t=c/p). The speed of the boards center after striking must then be


Notice that the speed of breaking will increase with the speed of sound in the board and decrease with the width increasing. A 10 inch width board is 20% more difficult to break than a 12 inch board.

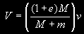
The breaking speed v is achieved my colliding the hand (or other body part) with the board. If the mass and speed of the hand is respectively, the speed imparted to the board depends on the type of collision that occurs. If the hand sticks to the board after the collision it is called perfectly inelastic. If mechanical energy is conserved (no frictional losses in bone, muscle, or board) the collision is perfectly elastic. All collisions are somewhere between these two extremes. The velocity of hand needed is then


where e is some number between 0 and 1 and is closer to one the less the energy losses are. (This means that the best object to hit with is the one closest to steel -- hands must be extremely tight and hard).

If the masses of hand and board are the same, the speed of the board's center will be 50% to 100% of the hands speed. As the number of boards increase, or just the mass of the struck object increases, the transfer of energy decreases. And that is the key. We gain speed using energy.

Assuming we use a force F to speed the hand over a similar distance s, the force necessary to achieve a certain velocity goes as the square of the velocity.


Now we need to apply these formulae to some simple examples. Firstly, how does the force change as the number of boards increase? Lets assume that M and m are roughly the same (about 1 kg or 2 pounds) say. If we assume as well that technique, path length and the like are the same for different trials, then, the force to break two boards will take 2.25 times as much force, three boards 4 times, four boards 6.35 times, and five boards nine times as much force as needed to break one board. The general formula is times as much force for n boards.

We can also see some advantages and disadvantages to scale. For example if one's arms are longer, s would become longer, and the force can be used over a larger distance --- less force needed to break a board. But if the mass of the hand is larger, say M=2m, then the force to break one board is about 3.6 times as hard as for a lighter hand.

However, technique may be very important. The closeness to elastic conditions may be helped by the firmness of the hand (an elastic collision gives takes 1/4 the force for the same energy transfer.)

However, our analysis is quite approximate. I suspect that board breaking also is helped by shear stresses during the collision. That is, when the hand hits the board, the part of the board in contact with the hand will get more force than the neighboring piece that is not in contact with the hand. This should cause the beginnings of small imperfections in the board that will eventually cause the board to crack. Correct follow through (continuing with a constant force on the hand through the break) will help these imperfections to propagate through the board, and break it. This effect is more pronounced for a faster moving hand which causes a sudden acceleration (called jerk) to the part of the board in contact with the hand. This effect could be made more pronounced through better technique and practice. Speed may also be increased by whipping the arm (bringing the elbow down to board level and snapping the forearm afterwards).

My analysis seems to support our experience that more boards are proportionately more difficult to break. Also, boards that when struck give a high pitch are harder to break than lower pitched boards (as sound velocity c is proportional to pitch). The four times factor between elastic and inelastic collisions tells us that technique may be crucial. Finally it appears that there are little advantages to scale --- the small person with good technique can hit as hard as a bigger person.



The Science of Tameshiwari



Tameshiwari (board breaking) is an exciting and important part of Kyokushin Karate. As a science teacher interested in Karate, I think that examining board breaking from a scientific perspective would be helpful. I first want to look at how boards break, and then examine the interplay of speed, force, and contact time as to what combination of these will produce the most effective result.

How do boards break?

When a single board is struck, it bends like a bow. This bowing is a natural response to the strike that allows the board to support a weight, or resist a blow. There is a maximum bowing that is possible before the board breaks. Whenever it bends more than this maximum, the internal fibers in the board begin to tear apart. When a board is flexed, the bottom surface must stretch more than the upper because it must make a larger arc of a circle (the outside of a curve is always longer than the inside). This means that the bottom starts to crack first. At first a series of small cracks start near the point of maximum flex. These quickly join together to produce a large crack on the bottom surface of the board. Materials like wood and glass, once cracked, become very weak along the break along the inside of the crack. This means that the crack immediately starts to deepen into the wood. The board actually tears open form the bottom to the top.

A sample board (1 inch thick, unplained cedar, 12 inch square) was tested to breaking under static loading. The board bent 0.5 in. before breaking at 137 lbs.

When more than one board is used, the bottom board feels more stress than the other boards because of the reasons above, but also because there is no board beneath it to support it. The upper boards feel much less stress because they have the flexing boards under them supporting their under side. When the bottom board breaks, the break propagates through each board from the bottom up, breaking each board in turn. Since the stress needed to break two boards is greater than the stress to break one board, when the bottom board breaks there is suddenly a much larger stress on the top board than is necessary to break it, so it breaks quickly.

If the strike is too weak to break the boards, they will only bend, storing all the energy in their fibers. Then the boards will transfer that energy back into your hand or foot, and pass it along through the joints. This can hurt and could even cause bodily damage. You must be sure of supplying enough arm motion to force the boards past their maximum bending point. Do not pull your strike --- it must force the board past this breaking point or all that energy will just be thrown back at you!

Speed, Force, Energy, and Contact Time

What is the best way to hit a board? Should we use speed, strength, or hit in a way that prolongs contact time? Or some combination of all of these?

Collisions like that of a bouncing super ball are called nearly elastic. They conserve both kinetic energy and momentum. Unless the striking object has an apparent mass much larger than the board, the hitting hand will be stopped on contact and the center of the board will begin to bend on its own because it has been hit (much like striking a baseball). This kind of impact will cause the greatest transfer of energy to the board. However, the speed necessary to do this is probably beyond the ability of the beginner. This type of strike could probably be used to break a board suspended in mid air. Essentially the center of the board would move faster than the outside edge due to inertia (like whipping a table cloth out from under some dishes) causing the board to bend and if struck hard enough, to break. If the board were held at its edges, a less powerful blow is needed.

Perhaps a simpler strategy is that of the nearly inelastic collision. In this type of collision, the hand and board remain in contact through out the blow. As the object is struck, the hand continues to exert force through the blow and the center of the board begins to bend with the velocity it gains from the collision. The blow then continues to apply force past the point where the board reaches its breaking point, accelerating through the board as it breaks! But is it force or speed that does it. If the hand is moving too slowly, the flex of the board will stop it before it breaks. It would be like trying to break the board by leaning on it! At greater speed the hand will slow as it contacts the board, however, the continued application of force by the arm that is larger than the force the board can give at that flex, will keep the hand's speed high. Eventually (in a thousandth of a second or so) the board will reach maximum flex and shatter. At higher speeds, the hand will always be moving faster than the board can react, even though it will slow down some.

Physical and Mathematical Description

When the board is struck it begins to vibrate. It reacts like a "simple harmonic oscillator." This means it vibrates sinusoidally with a certain frequency and amplitude. The frequency of vibration is given by


where k is the spring constant for the board (in our case k " 274 lbs / in ) and m is the apparent mass of the part of the board that is moving (m " 0.5 lb mass or 0.22 kg). This gives a frequency of vibration of about 54 hz (cycles per second ) a note that is at the lowest level of our hearing to hear. A marimba ( a kind of xylophone made of hardwood) uses harder woods and much smaller pieces to give notes we can hear more clearly. The sound you here is the sound of the board breaking apart. The amplitude of the vibration is related to this times the velocity of striking. This is given by


where v is the velocity imparted to the board at contact. The breaking speed v in our example would then be v " 4 m/s or 14.8 km / hr. Although this seems low, for an inelastic collision, the speed of your fist must be twice this speed or 29.6 km / hr. To attain this speed, my arm (0.6 m or 24 in. in length) must snap forward in less than 0.3 s (at the reflex threshold to block such a punch).

An elastic collision is almost twice as efficient, which translated means hitting the board with fore fist(seiken) takes less power than with bottom fist (tetsui). But because the board hits back at the same force it is hit, be careful when hitting objects harder than your fists this way (your knuckles may break before the stone ). For these objects, hitting with a softer part of the hand such as bottom fist (tetsui) or open hand (shuto) will be more effective.

As you double or triple the number of boards you must similarly double or triple the striking speed. To break three boards then, takes a minimum static breaking force of about 400 lbs. or a breaking speed of 90 km /hr.

Conclusion

It would seem that the best strategy is to move the arm with great speed and with enough length of motion that it passes through the maximum flex point of the board.

Richard Hewko, PhD,
Professor of Math/Physics
College of the Rockies
2nd Kyu
Rocky Mountain Dojo